当前位置:肿瘤瞭望>资讯>快讯>正文

锻炼对乳腺癌患者抑郁症状、生理功能和死亡率的影响

作者:肿瘤瞭望   日期:2022/8/25 18:17:23  浏览量:14244

肿瘤瞭望版权所有,谢绝任何形式转载,侵犯版权者必予法律追究。

癌症是全球的第二大死亡原因。其中,乳腺癌是女性最常见的癌症,每年影响210万女性的健康。当前,在发达地区女性的乳腺癌发病率较高,在世界范围内,乳腺癌发病率仍然呈现增长趋势,因此,对于乳腺癌患者的管理尤为重要。Cancer Epidemiology日前发表了一篇关于确诊后运动对乳腺癌幸存者抑郁症状、身体功能和死亡率影响的META分析。

编者按:癌症是全球的第二大死亡原因。其中,乳腺癌是女性最常见的癌症,每年影响210万女性的健康。当前,在发达地区女性的乳腺癌发病率较高,在世界范围内,乳腺癌发病率仍然呈现增长趋势,因此,对于乳腺癌患者的管理尤为重要。Cancer Epidemiology日前发表了一篇关于确诊后运动对乳腺癌幸存者抑郁症状、身体功能和死亡率影响的META分析。

 
乳腺癌是北美女性最常见的癌症之一(仅次于皮肤癌),超过350万女性有乳腺癌病史,包括目前正在接受治疗的乳腺癌患者和所有患乳腺癌的女性。被诊断为Ⅰ~Ⅲ期的乳腺癌女性,通常会接受手术、术后化疗、放疗和口服抗雌激素药物等一系列的治疗。在接受一系列的治疗之后,这些女性中的许多人都经历了癌症及其治疗带来的长期生理和心理影响,包括疼痛、食欲变化、疲劳感、淋巴水肿、心理障碍、焦虑和抑郁情绪、悲伤和绝望的感觉、睡眠障碍、精神运动发育迟缓、生活质量(QOL)下降、社会和职业功能障碍以及周期性的痛苦发作。
 
抑郁情绪也常见于乳腺癌幸存者,其患病率为1.5~46%。有几个因素导致了癌症幸存者抑郁状态的发展。如特定症状的严重程度(如疼痛、疲劳)、治疗本身的心理调适不良、化疗导致的脱发、恶心、体重增加,并可能影响患者生育能力和性行为等。还有治疗过程中导致的甲状腺功能减退、电解质失衡或贫血也会增加抑郁发作的风险。管理乳腺癌患者癌症分期治疗的身心健康和生存与治疗一样重要。因此,监测癌症复发的范围也发生了变化,包括女性健康管理的全面恢复,即心理和身体恢复、提倡健康的生活方式等因素。这一过程预计将涉及多个专业领域的卫生从业人员(如心理学家、物理治疗师、营养学家等)。
 
康复治疗的主要目的是帮助患者回到正常的生活中。乳腺癌患者健康的生活方式能降低相关并发症、复发风险和死亡的发生。Jung等人在他们对2042名乳腺癌幸存者(绝经后)的分析指出[1],那些诊断之前未进行过体育锻炼,但在诊断后增加了体育锻炼的乳腺癌患者,总死亡率显著降低了50%。此外,与不运动的乳腺癌患者相比,乳腺癌的死亡率降低了46%,无复发生存率(RFS)提高了42%。体育活动带来的积极作用也在一项荟萃分析中得到了证实,该分析[2]从14项随机对照实验中选取了717名乳腺癌幸存者进行分析,结果表明,体育活动能够改善患者的QOL。然而,这些发现是矛盾的,因为他们报告健康的生活方式会影响女性的自信、身体健康、心理状态、身体成分和成功完成化疗的可能性,而不会引起淋巴水肿或显著的不良事件。此外,这些研究结果并没有表明健康的生活方式是否会影响乳腺癌患者治疗后的生活质量。
 
正如现有的文献所显示的,运动对乳腺癌幸存者的身体和心理的影响是极其显著的。考虑到这种关于健康生活方式的差异和矛盾,以及它与乳腺癌幸存者女性生活质量的关系,研究者开启了一项荟萃分析,目的是评估乳腺癌患者诊断后锻炼对抑郁、生理功能和死亡率的影响。
 
研究者在PRISMA(Preferred Reporting Items for Systematic Reviews and meta-analysis)的指导下,系统地完成了文献检索(图1)。在CINAHL、Medline/PubMed、Scopus、Cochrane、Emerald Insight和Science网站、Embase数据库、Medline In-procedure、Elsevier、Google Scholar、PsycInfo、Cochrane系统综述数据库(CDSR)、Cochrane对照试验中央注册库、联合和补充医学数据库(AMED)、Biosis Previews、SPORTDiscus、PEDro科学数据库中,通过搜索1974年至2020年报告的研究确定了相关文献。最终,对26篇文献进行了进一步分析。
 
图1. 在PRISMA 指导下进行的研究检索,筛选和入组
 
使用标准化平均差异(SMD)计算乳腺癌幸存者的抑郁、生理功能和死亡率的综合统计数据。根据要求将标准误差和95%CI转换为标准偏差。对于死亡率,使用危险比(HR)计算联合统计。95%CI按要求转换为标准差。森林图显示点估计和95%CI。
 
纳入的26项研究中,参与者被诊断患有不同分期的乳腺癌。所有治疗方式包括化疗、内分泌治疗和放疗。研究诊断后锻炼对乳腺癌幸存者的抑郁、生理功能和死亡率的影响。在随机对照试验中,运动的方式、强度和时间有所不同。使用流行病学研究中心抑郁量表(CES-D)、医院焦虑和抑郁量表(HADS)定义的几种预后指标来评估抑郁。为了评估死亡率,研究人员对参与者进行了1~11年的观察。大多数研究通过死亡记录/证明确认了死亡率。
 
乳腺癌患者诊断后锻炼的影响
 
抑郁:
 
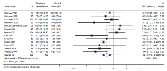
为了评估诊断后锻炼对乳腺癌幸存者抑郁的影响,研究人员纳入了13项研究中689名干预组参与者和480名对照组参与者的数据。在干预期结束时结果显示,与对照组相比诊断后锻炼具有统计学意义(SMD=0.24,95%CI:0.43~0.05,P=0.012),具有中度统计异质性(P=0.011,I2 = 54%)(图2)。
 
图2. 乳腺癌患者诊断后锻炼对抑郁影响的汇总统计和相应的森林图
 
身体功能:
 
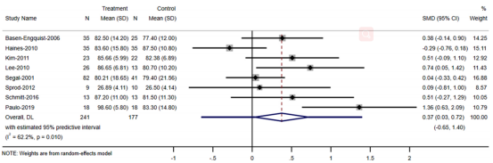
为了评估诊断后锻炼对乳腺癌幸存者身体功能的影响,研究者纳入了241名运动干预参与者和177名对照组参与者的数据。干预期结束时,运动组与对照组的差异有统计学意义(SMD=0.37,95%CI:0.03~0.72,P=0.032),具有中度统计异质性(P=0.01,I2=62%)。
 
图3. 乳腺癌患者诊断后运动对身体功能影响的汇总统计和相应的森林图
 
死亡率:
 
前瞻性观察研究检查了诊断后锻炼对乳腺癌幸存者死亡率的影响,通过使用不同的分界点,根据身体活动水平对患者进行分组(即诊断后锻炼对乳腺癌幸存者死亡率的影响)。由于各研究的分类不一致,meta分析中使用了以下体育活动水平:低水平体育活动,0~≤3 MET-h/周;中等水平的体育活动,2.5~<8.9 MET-h/周;中级至高级体力活动,≥7.5 MET-h/周;高强度体力活动,≥14.9 MET-h/周(图4)。
 
图4. 全因死亡率中诊断后锻炼对身体功能影响的汇总统计和相应的森林图
 
乳腺癌特异性死亡率:
 
7项研究(15853名参与者)的数据被用于评估诊断后运动对乳腺癌特异性死亡率的影响。与对照组相比,所有中等水平、中~高、高水平的体育活动对乳腺癌特异性死亡率均显示出统计学上显著的保护作用。体育活动的总体影响也具有统计学意义(HR=0.63,95%CI:0.55~0.71,P<0.00001),没有统计学异质性(P=0.27,I2 =15%)(图5)。
 
图5. 全部统计和相应的森林图显示诊断后运动对乳腺癌特异性死亡率危险比的影响
 
全因死亡率:
 
来自7项研究(17696名参与者)的数据被用于调查诊断后运动对全因死亡率的影响。与对照组(低水平体力活动)相比,所有水平的体力活动对全因死亡率的影响显示了统计学上显著的保护作用。体育活动的总体影响显示出了显著的统计学作用(HR=0.61,95%CI:0.55~0.67,P<0.00001),具有中度的统计学异质性(P<0.001,I2 =60%)(图4)。
 
结论与讨论
 
乳腺癌的康复和治疗后的生活适应对每个女性患者来说可能不同,这取决于患者的癌症分期、女性的心理状态和接受的治疗方法。癌症治疗的结束意味着克服未来副作用阶段的开始。在这项包含26项研究的荟萃分析中,参与者被诊断出患有不同阶段的乳腺癌,这项系统分析研究证实了诊断后锻炼对抑郁和乳腺癌患者的生存率有积极和有益的影响。当前分析的总体结果与美国运动医学学院(ACSM, 2019)的最新报告[3]一致。根据该报告,有足够的证据支持锻炼和身体活动的有效性,以解决癌症相关的健康结果,包括疲劳、生活质量、身体功能、焦虑和抑郁症状。
 
此外,国际健康结果测量联盟(ICHOM)倡议报告指出[4],存在长期并发症、自我报告的疾病状况和从事很少的体育活动与较差的生活质量相关。然而,健身专家和理疗师需要知道癌症的类型和分期,以便最好地评估癌症幸存者的运动耐受性,并制定安全有效的运动计划。他们应该熟悉癌症治疗的一般方法及这种治疗的副作用和症状,以及随之而来的对运动耐受性的影响。
 
这项荟萃分析中的证据表明,乳腺癌患者诊断后的锻炼是一种有效的干预措施,可以减少抑郁症状和乳腺癌特异性死亡率和全因死亡率,运动在乳腺癌治疗中可以起到有益的作用。但就目前的荟萃分析而言,在过去的五年里,在乳腺癌幸存者中锻炼对抑郁的影响进行评估的研究还很少。因此,需要进一步的研究来收集更多的证据,并在多个目标之间进行比较。
 
▌参考文献
 
1、A.Y. Jung, S. Behrens, M. Schmidt, et al., Pre- to postdiagnosis leisure-time physical activity and prognosis in postmenopausal breast cancer survivors, Breast Cancer Res. 21 (1) (2019) 117,
 
2、M.L. McNeely, K.L. Campbell, B.H. Rowe, T.P. Klassen, J.R. Mackey, K.S. Courneya, Effects of exercise on breast cancer patients and survivors: a systematic review and meta-analysis, CMAJ 175 (1) (2006) 34–41, https://doi.org/10.1503/ cmaj.051073. 
 
3、K.H. Schmitz, A.M. Campbell, M.M. Stuiver, B.M. Pinto, A.L. Schwartz, G.S. Morris, J.A. Ligibel, A. Cheville, D.A. Galv?ao, C.M. Alfano, A.V. Patel, Exercise is medicine in oncology: engaging clinicians to help patients move through cancer, CA Cancer J. Clin. 69 (6) (2019) 468–484. 
 
4、W.L. Ong, M.G. Schouwenburg, A.C. Van Bommel, C. Stowell, K.H. Allison, K.E. Benn, J.P. Browne, R.D. Cooter, G.P. Delaney, F.P. Duhoux, P.A. Ganz,A standard set of value-based patient-centered outcomes for breast cancer: the International Consortium for Health Outcomes Measurement (ICHOM) initiative, JAMA Oncol. 3 (5) (2017) 677–685.
 
5、Mittendorf, Elizabeth A et al. “Efficacy and Safety Analysis of Nelipepimut-S Vaccine to Prevent Breast Cancer Recurrence: A Randomized, Multicenter, Phase III Clinical Trial.” Clinical cancer research : an official journal of the American Association for Cancer Research vol. 25,14 (2019): 4248-4254. doi:10.1158/1078-0432.CCR-18-2867
 
材料由阿斯利康支持,仅供医疗卫生专业人士参考
 
审批编号CN-101463
 
过期日期2023-8-24
 

本内容仅供医学专业人士参考


乳腺癌乳腺癌诊疗规范传递

分享到: 更多