当前位置:肿瘤瞭望>资讯>访谈>正文

ASCO GU丨姜昊文教授:ARCHES研究亚组分析,不同初诊分期mHSPC患者的恩扎卢胺疗效和安全性一致

作者:肿瘤瞭望   日期:2021/3/8 11:13:58  浏览量:14440

肿瘤瞭望版权所有,谢绝任何形式转载,侵犯版权者必予法律追究。

编者按:基于ENZAMET、ARCHES等关键Ⅲ期研究,恩扎卢胺已相继获得FDA、欧盟、日本的转移性激素敏感性前列腺癌(mHSPC)一线治疗适应症批准。在近日举行的2021年ASCO GU大会上,一项ARCHES研究的事后分析显示,不同mHSPC进展状态(初诊M0进展为M1,或初诊为M1)患者的rPFS获益一致。《肿瘤瞭望》特邀复旦大学附属华山医院姜昊文教授,总结和点评恩扎卢胺在mHSPC领域的研究进展。

研究简介


ARCHES研究是恩扎卢安获得FDA批准用于治疗mHSPC的关键Ⅲ期研究,中期分析显示达到主要终点rPFS。本次ASCO-GU大会上,Arun Azad等报告的ARCHES研究的事后分析,进一步探讨了不同mHSPC进展状态患者的生存获益,包括246例初诊M0(入组时进展为M1)患者,ENZA组117例,PBO组129例,890例初诊M1患者,ENZA组448例,PBO组442例,以及14例未知转移状态(Mx)的患者。


  • 基线特征


相较于初诊M0患者,初诊M1患者高肿瘤负荷(68.1% vs 47.2%),接受过多西他赛化疗(19.4% vs 11.8%),Gleason评分≥8(74.9% vs 34.6%)的比例更高;ECOG状态为1分的情况更常见(25.1% vs 13.8%)。初诊M0患者中有54.5%行根治性前列腺切除术,60.6%行放疗。


  • 主要终点


与安慰剂组相比,恩扎卢胺组中初诊M0(NR vs 22.1个月;HR 0.42,95%Cl:0.23~0.76)和初诊M1(NR vs 16.6个月;HR 0.38,95%Cl:0.29~0.50)放射学进展风险均有明显降低,与ITT人群的结果一致;且无论基线时肿瘤负荷高低,恩扎卢胺的获益趋势一致。


图1. 无影像学进展生存曲线及不同分层人群的rPFS HR


  • 次要终点


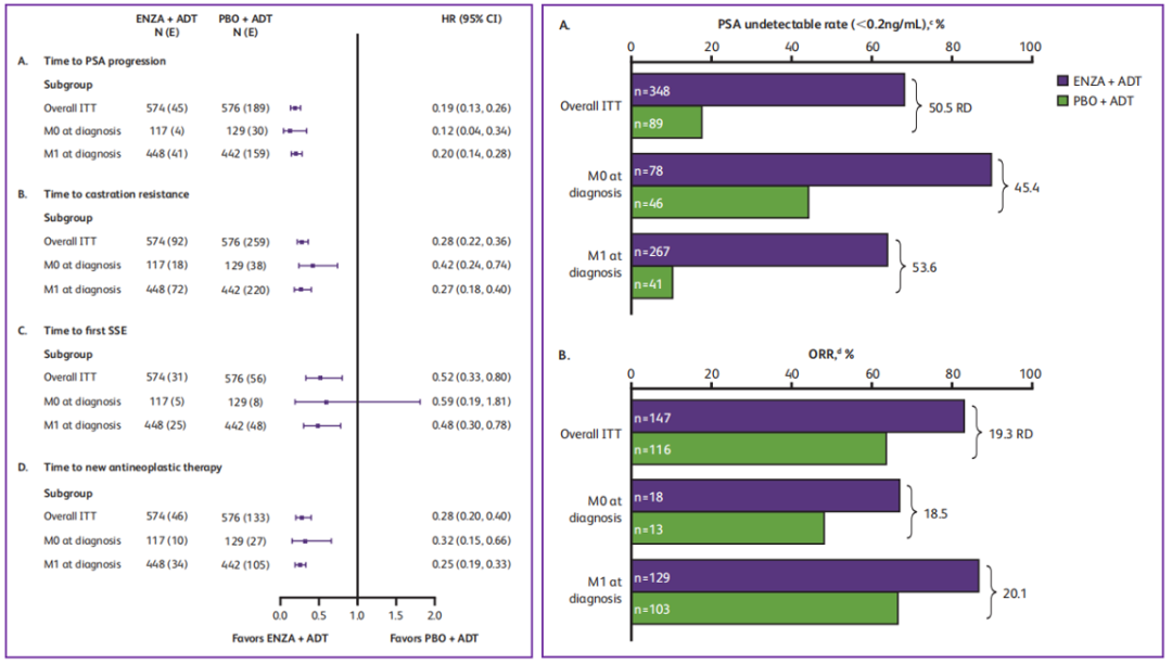
在至PSA进展时间、至去势抵抗时间、至首次症状性骨健康事件(SSE)、至新使用抗肿瘤药物治疗时间等次要终点中,恩扎卢胺为初诊M0和M1的mHSPC患者带来同样获益。此外,恩扎卢胺使患者中PSA达到无法检测(0.2 ng/mL)水平的比例也高于安慰剂组。各亚组之间的安全性基本相似,但M0患者潮热(38.5% vs 24.4%)、疲劳(36.8% vs 15.2%)发生率高于M1患者。


图2. 无影像学进展生存曲线及PSA无法检测的比例


专家点评


《肿瘤瞭望》:从ARCHES研究的既往报道,以及这次的事后分析数据,您如何看待恩扎卢胺在mHSPC中的疗效和安全性?


姜昊文教授:ARCHES研究是一个多中心随机、安慰剂对照的Ⅲ期试验,旨在对比恩扎卢胺+ADT和安慰剂+ADT治疗无症状或轻度症状mHSPC患者的疗效和安全性。2019年发表于JCO杂志的ARCHES研究中期数据显示达到主要终点,恩扎卢胺+ADT组的rPFS有显著改善(NR vs 19.45个月,P<0.001)。


该研究共入组1146例患者,其中727例患者(63.2%)为高肿瘤负荷(CHAARTED定义),205例(17.9%)既往接受过多西他赛化疗,145例(12.6%)既往接受过放疗。从中期数据可见,不同亚组的获益趋势是一致的。这次事后分析则从不同疾病转移特征探讨获益情况,对于从M0进展到M1的mHSPC患者以及新诊断的mHSPC患者,无论是rPFS还是其他次要终点,均可看到恩扎卢胺+ADT一线治疗mHSPC的获益优势,安全性也是相似的。目前OS数据尚未成熟,我们对此也充满期待。


《肿瘤瞭望》:除了ARCHES研究以外,另一项ENZAMET研究也为恩扎卢胺获得mHSPC适应症批准提供了有力证据。两项研究有何异同?


姜昊文教授:FDA对恩扎卢胺mHSPC的批准主要基于ARCHES研究。关于该研究大家比较关心的两个问题:一是恩扎卢胺在低肿瘤负荷人群中疗效,从亚组分析来看,高或低负荷人群的获益是一致的;二是该研究以rPFS为主要终点,而关键次要终点OS尚未成熟。


ENZAMET研究是另一项以OS为主要终点的多中心Ⅲ期试验,入组1125例患者,随机接受恩扎卢胺+ADT或非甾体抗雄药+ADT。2019年发表于NEJM杂志的中期数据显示,恩扎卢胺+ADT组患者的3年OS率有显著提高(80% vs 72%,P=0.002);而且与高肿瘤负荷患者相比,低肿瘤负荷患者的生存获益更显著(90% vs 71%)。ARCHES和ENZAMET研究为恩扎卢胺在mHSPC领域的应用提供了重要证据,基于此,恩扎卢胺进一步获得了欧美和日本的适应症批准。


《肿瘤瞭望》:恩扎卢胺在国内适应症已经覆盖了mCRPC、nmCRPC,您对其在国内mHSPC领域的获批和医保覆盖有何期待?


姜昊文教授:基于Asian PREVAIL、PROSPER等研究,恩扎卢胺已经获得中国NMPA批准用于治疗mCRPC、nmCRPC,其中治疗mCRPC的适应症也进入了医保目录,减轻了患者的经济负担。目前,恩扎卢胺在国内治疗mHSPC的临床研究正在进行中。从ARCHES、ENZAMET研究取得的积极结果来看,我们对国内该领域的研究也充满信心,将会造福更多的前列腺癌患者。


参考文献:
[1]Efficacy of enzalutamide (ENZA) plus androgen deprivation therapy (ADT) in men with de novo (M1) metastatic hormone-sensitive prostate cancer (mHSPC) versus progression to mHSPC (M0): Post hoc analysis of the phase III ARCHES trial.ASCO GU 2021, Abstract 102
[2]Armstrong AJ, Szmulewitz RZ, Petrylak DP, et al. J Clin Oncol. 2019;37(32):2974-2986.
[3]Davis ID, Martin AJ, Stockler MR, et al. N Engl J Med. 2019;381(2):121-131.

专家介绍

姜昊文

主任医师、教授 、博士生导师

复旦大学泌尿外科研究所副所长(常务)

复旦大学附属华山医院泌尿外科副主任

复旦大学附属华山医院教育处处长、机关三支部书记

中华医学会泌尿外科分会常务委员

中国性学会泌尿外科专委会副主任委员

中国抗癌协会泌尿男生殖肿瘤专业委员会委员

中国临床肿瘤学会前列腺癌专家委员会委员

中国医师协会泌尿外科医师分会修复重建学组委员

上海市抗癌协会理事

上海医学会泌尿外科分会委员

上海医学会医学教育专委会委员


擅长泌尿系统肿瘤的达芬奇和腹腔镜微创手术治疗、冷冻消融技术对尿路上皮癌的保肾和保膀胱的治疗、上尿路结石与狭窄的微创技术与修复重建;曾获教育部新世纪人才、上海市新百人计划、上海市医务青年管理十杰、复旦大学十大医务青年等荣誉

本内容仅供医学专业人士参考


恩扎卢胺

分享到: 更多

相关幻灯